लोसपाले केन्द्रीय समितिलाई पूर्णता दियो (सूचीसहित)
काठमाडौं । लोकतान्त्रिक समाजवादी पार्टी (लोसपा) नेपालले पदाधिकारीसहित केन्द्रीय समितिलाई पूर्णता दिएको छ ।
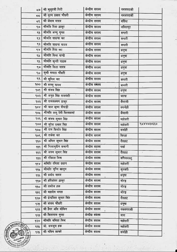
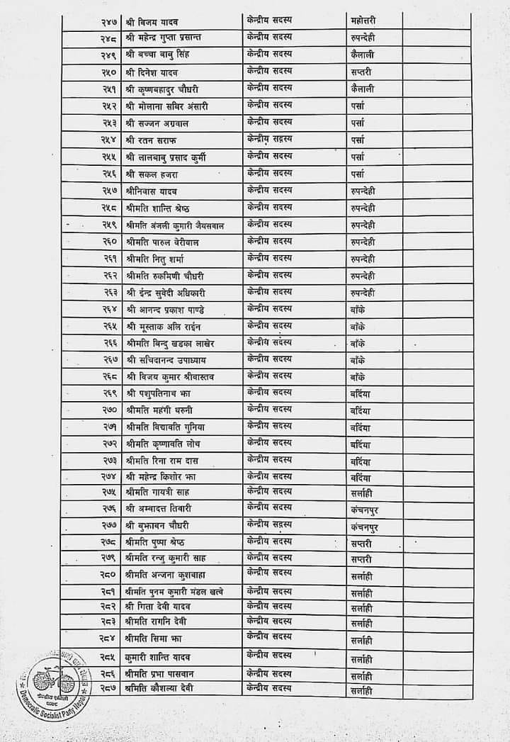
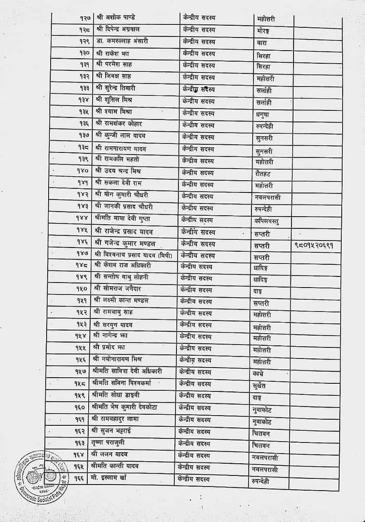
लोसपाको कार्यकारिणी समितिको बैठकले पदाधिकारीसहित तीन सय ११ सदस्यीय केन्द्रीय समिति गठन गरेको लोसपाका कार्यकारिणी सदस्य केशव झाले जानकारी दिए । उनका अनुसार लोसपाको विस्तारित केन्द्रीय समितिमा पार्टी अध्यक्ष महन्थ ठाकुरसहित ७० जना पदाधिकारी रहेका छन् । वरिष्ठ नेतामा नेतात्रय राजेन्द्र महतो, शरतसिंह भण्डारी र अनिलकुमार झाले जिम्मेवारी पाएका छन् । पार्टीको वरिष्ठ सहअध्यक्षमा नेता सर्वेन्द्रनाथ शुक्लालाई जिम्मेवारी दिइएको छ ।
यस्तै नेताहरु जितेन्द्र सोनल, उमाकान्त झा, लक्षणलाल कर्ण, अकवाल अहमद शाह निर्जला राउत गरी ६ जना वरिष्ठ उपाध्यक्ष र १५ उपाध्यक्ष रहेका छन् । महासचिवमा १६, सहमहासचिव आठ, सचिव ११, कोषाध्यक्षमा दुई, प्रवक्ता र सहकोषाध्यक्ष एक–एकजना रहेका छन् । कोषाध्यक्षमा दुई जनालाई जिम्मेवारी दिइएको छ ।








डिसी नेपाल







Facebook Comment